RSSB Teaching Associate Recruitment 2026 : Get complete details about RSSB Teaching Associate Recruitment 2026, including recruitment updates, total vacancies, important dates, application fees, eligibility criteria, age limit, selection process, salary, syllabus, exam pattern, admit card, answer key, result, and more.
| Form Mode | Job State | Total Posts | Job Type |
| Online Form | Rajasthan | 3540 Posts | Contractual |
SarkariNetwork.Com Rajasthan Staff Selection Board (RSSB)
|
|||
Important Dates |
|||
|---|---|---|---|
|
|||
Application Fees |
|||
|
|||
Age Limit Details |
|||
|
|||
Selection Process |
|||
|
|||
Monthly Salary Details |
|||
|
|||
Total Post & Qualification |
||
|---|---|---|
| Post Name | Total Post | Qualification |
| Teaching Associate | 3540 | Master’s Degree in Related Subject with (Unreserved : 55% Marks, Reserved Candidates : 50% Marks) and NET/ SET/ SLET/ Ph.D. |
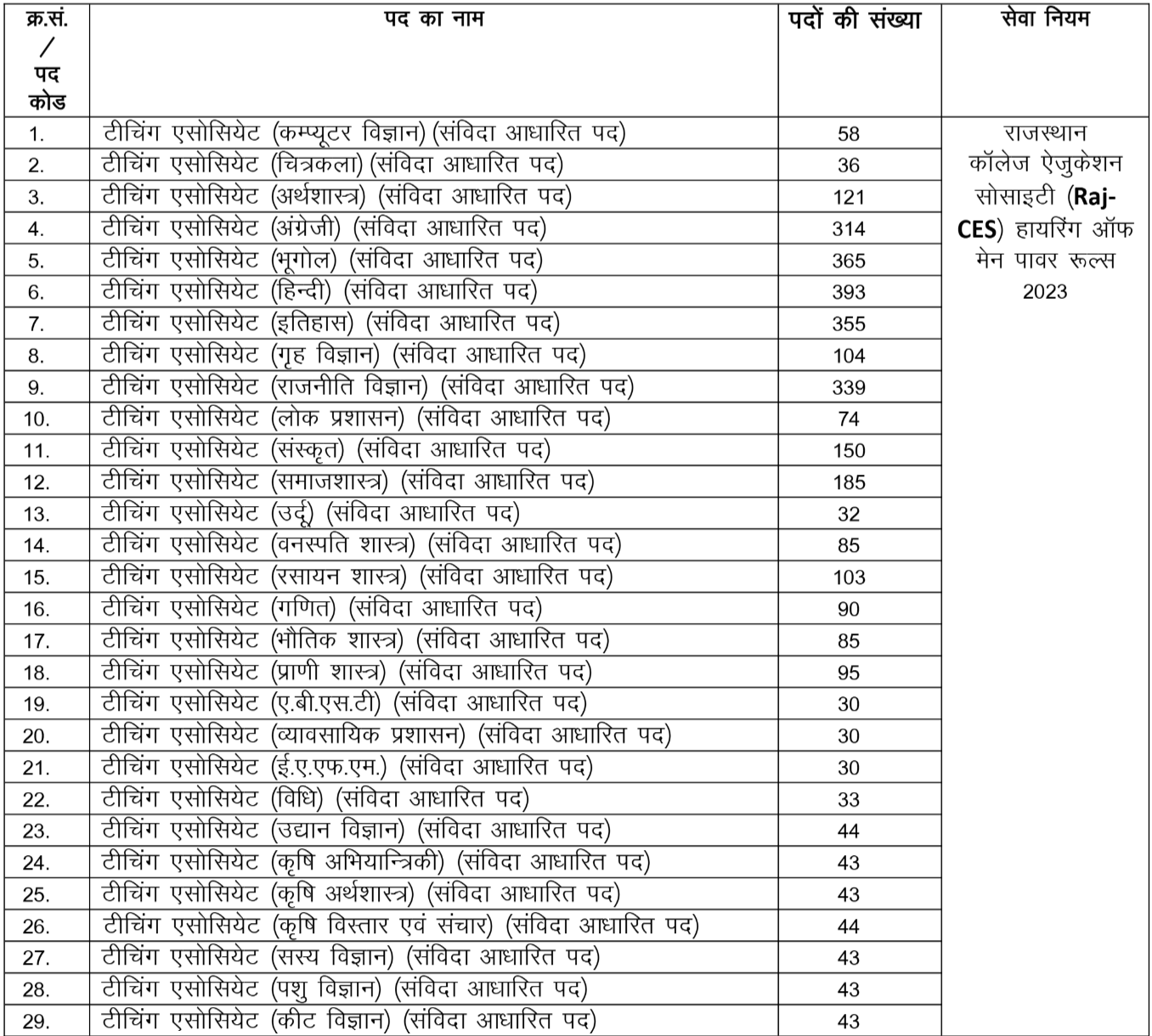
Subject Wise Vacancies |
|---|
![]() ![]() |
Exam Pattern |
||||
|---|---|---|---|---|
| Negative Marking : 1/3rd | ||||
|
Paper |
Subjects |
Question |
Marks |
Duration |
|
Paper-I |
General Studies of Rajasthan |
60 |
75 |
01 Hour |
|
Paper-II |
Subject concerned with the post |
120 |
300 |
02 Hours |
|
|
Total Marks |
180 |
375 |
3 Hour |
Important Related Links |
||
|---|---|---|
Source Title |
Issue Date |
Source Link |
Fill Online Form |
05/05/2026 |
Apply Now |
Full Notification |
30/04/2026 |
Download |
Official Website |
30/04/2026 |
Visit Now |

